Muster, die punkten
Aus Sicht der Modellierung sind Streifenmuster simpel, da Oszillationen bzw. zeitliche Konstanz mathematisch
recht einfach zu verstehen und schließlich umszusetzen sind. Bei den ebenso simpel anmutenden Punkten sieht die Sache
schon anders aus. Man kann allerdings Flecken (Punkte oder kleine Streifen) auch aus Überlagerungen von
Streifenmustern gewinnen. Und mit Streifen haben wir ja bereits Erfahrungen
Dem Aktivator-Substrat-Modell kann man hier bei anderen Simulationen begegnen:
Einfach beim Wellenmuster und gar doppelt beim Dreiecksmuster
von Conus marmoreus. Auch Aktivator-Inhibitor-Modelle sollten nicht unbekannt sein: Bei
den Streifenmustern waren sie zum Einsatz gekommen (hier und
hier).
Mit beiden Ansätzen lassen sich Streifen senkrecht wie parallel zur Wachstumskante erzielen. Daher ist es schon
vom Prinzip her interessant, was passiert, wenn zwei Antagonisten gleichzeitig eingesetzt werden,
wobei diese dann so eingestellt sind,
dass Tendenzen zum Streifenmuster senkrecht zur Wachstumskante mit Tendenzen zur Oszillation in Konkurrenz treten.
Einem Aktivator-Substrat-Modell wird daher ein zweiter Antagonist in Form eines Inhibitors, wie man ihn vom
Aktivator-Inhibitor-Modell her kennt, hinzugefügt. Wir sprechen dann vom Erweiterten Aktivator-Substrat-Modell.
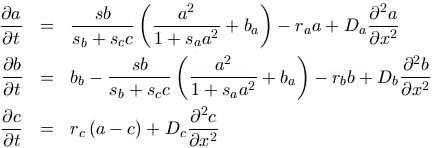
Das System partieller Differentialgleichungen für das Erweiterte Aktivator-Substrat-Modell lautet wie folgt:

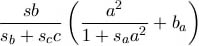
Man erkennt den typischen Zusammenhang zwischen Aktivator und Substrat, wo ein Zuwachs an Aktivator die gleiche Menge an Substrat kostet:
![]()
Offensichtlich geht hier ein Sättigungseffekt bezüglich des Substrates ein, wobei die Wirkung des Inhibitors auf den Aktivator in diesen Sättigungsterm mit einbezogen wurde. Die Gleichung für den Inhibitor ist die bekannte, jedoch wird keine Grundproduktion berücksichtigt. Zu beachten ist, dass die Wachstumsrate des Inhibitors dem Wert seiner Zerfallsrate angepasst ist. Wenn im folgenden Abschnitt also von der Zerfallsrate des Inhibitors die Rede ist (so wird der Wert im Parameterfenster zu den Simulationen automatisch benannt), so sollte man im Hinterkopf haben, dass es sich zugleich um die - von der Aktivatormenge abhängige - Wachstumsrate handelt.
Zum Erweiterten Aktivator-Substrat-Modell gibt es zwei Simulationen. Die Grundeinstellung für die erste der beiden sieht so aus:
| Grundproduktion | Zerfallsrate | Diffusionskonstante | Sättigungskoeffizient | |
| Aktivator | 0.01 | 0.08 | 0.01 | 0.1 |
| Substrat | 0.08 | 0 | 0.3 | 0 |
| Inhibitor | 0.01 | 0.002 | 1 |
Das Muster zu diesen Parametereinstellungen kann sicher nicht einfach genannt werden. Wie kommt es zu Stande?
Schaltet man den Inhibitor aus (Wachstums- / Zerfallsrate
| Zerfallsrate | Diffusionskonstante | Sättigungskoeffizient | |
| Inhibitor | 0.05 | 0.01 | 2 |
Schauen wir uns nun die zweite Simulation zum Erweiterten Aktivator-Substrat-Modell an. Die Zweitversion zum Modell war für die hier gewählten Einstellungen nötig, weil sie sich teils sehr von den Werten zu den bereits gesehenen Mustern unterscheiden.
| Grundproduktion | Zerfallsrate | Diffusionskonstante | Sättigungskoeffizient | |
| Aktivator | 0.005 | 0.05 | 0.01 | 1 |
| Substrat | 0.03 | 0 | 0 | 1 |
| Inhibitor | 0.02 | 0.3 | 2 |
Wieder bekommt man ein komplexes Muster zu sehen. Schaut man sich das Muster jedoch in der Schwellenwert-Version mit einem Schwellenwert von 0.3 oder 0.4 an, sehen wir ein Fleckenmuster.
[Natürlicher erscheint es mit den Umstellungen
Schaltet man wie bei der ersten Simulation in der Grundeinstellung durch Nullsetzen der
Zerfalls- bzw. Wachstumsrate