Übergestreifte Muster
Streifen sind auf Schneckenschalen keine Seltenheit. Sie können senkrecht zur Wachstumskante verlaufen (ein zeitlich stabiles Muster) oder waagerecht zu ihr (Oszillation), aber durchaus auch schräg. Ebenso variabel wie die Ausrichtung ist die Breite der Streifen.
Im Gegensatz zur Kinetik chemischer Reaktionen gibt es in der Enzymkinetik
das Phänomen der Sättigung: bei sehr hohen Substratkonzentrationen kann
die Umsatzgeschwindigkeit nicht weiter gesteigert werden, d.h. es wird eine
Maximalgeschwindigkeitswert erreicht. Chemische Umwandlungen in Zellen laufen
- insbesondere bei höhermolekularen Stoffen -
typischerweise enzymkontrolliert ab. Deshalb muss in ein gutes Modell
das Sättigungsphänomen einfließen.
Den Grundstein für die Enzymkinetik legten Michaelis und Menten mit ihrer 1913 vorgestellten
und nach ihnen benannten Michaelis-Menten-Gleichung. Aus ihr entwickelte man
die sogenannte Inhibitionsgleichung, die hier in das Einfache Aktivator-Inhibitor-Modell
eingearbeitet wird.
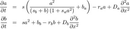
Das System partieller Differentialgleichungen für das Aktivator-Inhibitor-Modell mit Michaelis-Menten-Kinetik lautet wie folgt:

Ein Vergleich mit den Differentialgleichungen des Einfachen Aktivator-Inhibitor-Modells
lässt sofort erkennen, dass beide Modelle für
Eine Simulation mit den voreingestellten Werten lässt
diesmal ein anderes Bild erscheinen, obwohl beide Sättigungskoeffizienten tatsächlich verschwinden. Betrachtet
man diese Werte, ist jedoch (Eingeweihten) sofort klar, dass ein Streifenmuster senkrecht zur Wachstumskante
so nicht entstehen kann:
| Grundproduktion | Zerfallsrate | Diffusionskonstante | Sättigungskoeffizient | |
| Aktivator | 0.02 | 0.05 | 0.04 | 0 |
| Inhibitor | 0 | 0.03 | 0 | 0 |
Eine Voraussetzungen für senkrechte Streifen beim Einfachen Aktivator-Inhibitor-Modell war eine sehr viel
größere Diffusionskonstante beim Inhibitor als beim Aktivator (mindestens
Stellt man die drei gemeinsamen Parameter auf die Werte des Einfachen Aktivator-Inhibitor-Modells um, so sieht man die bekannten Streifen senkrecht zur Wachstumskante. Auch hier wirken sich Änderungen an den Sättigungskoeffizienten auf Streifenbreite und -dichte aus. Es gibt viele Möglichkeiten zum Probieren und Argumentieren, da diesmal kombinierte Änderungen nicht so häufig zu völligem Verschwinden des Musters führen.