Wellenlinie bei einer Aktivator-Substrat-Reaktion
Aufschlussreiche Namen
Ein häufig vorkommendes Muster sind Wellenlinien. Oftmals spiegelt sich die Schalenzeichnung im Namen wider.
Bei Voluta undulata beschreibt er sowohl das spriralförmige Gehäuse wie das sich darauf
befindliche Wellenmuster.
Modellierung
Der Simulation des Wellenmusters beim Applet liegt eine Aktivator-Substrat-Reaktion zugrunde.
Der Aktivator a ist verantwortlich für die Pigmentbildung. Zur Entfaltung seiner Wirkung benötigt a
das Substrat b, womit das den Modellen eigene Rückkopplungsprinzip bereits geklärt ist:
Die Aktivatormenge wird positiv von der Existenz des Substrates beeinflusst, wohingegen die Substratmenge durch
den Aktivator reduziert wird. Damit wird sofort klar, dass das System nur bei einem ausreichenden Nachschub an Substrat
funktionieren kann.
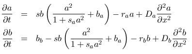
Mathematische Formulierung und Mustersimulation
Das verwendete System partieller Differentialgleichungen zur Formulierung der Aktivator-Substrat-Reaktion lautet wie folgt:

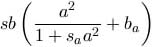
Die Rückkopplungseigenschaften stecken in dem mit unterschiedlichen Vorzeichen versehenen Term
.
Mit diesem Modell lassen sich sehr einfach Oszillationen erzeugen, also Streifen parallel zur Wachstumskante.
Bei einer Simulation mit der Grundeinstellung der Parameter sind auch gar keine Wellenlinien zu sehen!
|
Grundproduktion |
Zerfallsrate |
Diffusionskonstante |
Sättigungskoeffizient |
| Aktivator |
0.02 |
0.1 |
0.003 |
8 |
| Substrat |
0.01 |
0 |
0 |
|
Eine Veränderung der Substratgrundproduktion beeinflusst bei der Oszillation ihre Frequenz. Das kann
man nutzen, um ein Wellenmuster zu produzieren, wenn es gelingt, die Oszillation an verschiedenen Orten
verschieden stark werden zu lassen. Dazu ist hier die Substratproduktion ortsabhängig gestaltet. In den
oben angegebenen Differentialgleichungen sollte für das Wellenmuster demnach der Ausdruck
bb durch bb(x) ersetzt werden.
 |
| Abbildung 1 |
Die Ortsabhängigkeit der Grundproduktion an Substrat wurde dabei wie folgt realisiert: Der im Parameterfenster angezeigte
Wert ist der maximal angenommene. Der Minimalwert ist festgelegt und entspricht mit 0.01 genau der Voreinstellung
(rotes Feld der Tabelle) - eine ortsabhängige Variation liegt dann also gar nicht vor. Ansonsten wird das Zellenfeld in fünf
Stücke aufgeteilt; ganz links, ganz rechts sowie in der Mitte wird der Minimalwert verwendet, dazwischen der
im Parameterfenster eingestellte Maximalwert. Die Übergänge zwischen den Bereichen werden durch Polynome
dritten Grades geschaffen. Wie die Verteilung der Größe des des Parameters bb(x)
bei Einstellung des Wertes 0.02 aussieht, zeigt die Abbildung 1. Im Übergang der Bereiche schneller und langsamer
Oszillation kann es - je nach Phasenverschiebung - zu Anregungen (neue Linien) oder auch umgekehrt zu Deaktivierungen
(Linienabbruch) kommen.
Einen weiteren Zweikampf lohnt es anzuschauen: Man stelle den Maximalwert für die Grundproduktion an
Substrat auf 0.02 ein und die beiden Diffusionskonstanten auf 0.01. Aus dem schönen Bild entstehen durch Anhebung
der Diffusionskonstante des Subtrates skurrile Muster, die aus dem Ringen des Wellenmusters mit der ortsabhängig
ausgeprägten Tendenz zum Übergang zum zeitlich stabilen Streifenmuster resultieren.
zur Einstiegsseite